28.3.1 Guidance
The reasonable spill expectation SPCC applicability may be the most difficult criteria to define. The SPCC Guidance for Regional Inspectors provides the following criteria:
“An owner or operator should consider the location of the facility in relation to a stream, ditch, gully, or storm sewer; the volume of material likely to be spilled; drainage patterns; and soil conditions.” [1]
This guidance has a significant impact on the reasonable spill expectation criteria, since any sewer drains near the facility make the possibility of a spill reaching a navigable water reasonable in the Environmental Protection Agency’s eyes.
Possibly the most impactful information in the SPCC Guidance for Regional Inspectors is this statement:
“The following factors may be useful to consider in determining whether there is a reasonable expectation of a discharge:
- Precipitation runoff could transport oil into navigable waters; and [2]
Since oils can float on water, a spill during a rainfall event could travel significantly further than an oil spill on dry land.
Another factor identified by the SPCC Guidance for Regional Inspectors is the “Quantity and nature of oil stored.”[3] Obviously more oil can travel further, so a facility that has significant storage could travel further if spilled. The nature of the oil (i.e., viscosity) also impacts the travel distance. I have had clients with viscous oils, such as road oil and asphalt, that are heated to remain liquid. Upon release, these materials would quickly solidify and not travel far.
Finally, the SPCC Guidance for Regional Inspectors also states:
“An owner or operator may not consider constructed features, such as dikes, equipment, or other manmade structures that prevent, contain, hinder, or restrain a discharge ”[4]
Therefore, any secondary containment systems you have in place, which may be required by the SPCC regulation, are ignored when determining whether your facility is subject to the SPCC regulation.
At the end of the day, the Environmental Protection Agency (EPA) provides some deference to the facility and/or professional engineer to determine if the facility has a reasonable spill expectation but they should be prepared to support their conclusion”
“If an owner or operator makes a determination that, due to the location, the facility cannot reasonably be expected to discharge oil as described in §112.1(b), he should be prepared to provide the rationale and any supporting documentation to an EPA inspector that explains why the facility does not have an SPCC Plan.”[5]
28.3.2 Calculation Methods
One option to quantify the reasonable spill expectation is to calculate or model how far a potential spill could travel. Preparing this calculation is a good example of the supporting documentation that the Environmental Protection Agency would expect if you determine that your facility does not have a reasonable spill expectation. Models and calculations provide a nice quantitative answer, they are still based on assumptions you need to make, so they are not without qualitative aspects.
I don’t want to endorse commercially available models, but as an example I am providing a manual calculation method I used for some clients. I used the Soil Conservation Service (SCS) lag equation to calculate distance a spill would travel before response personnel could stop it’s migration. If this distance is shorted than the flow distance to the nearest downgradient navigable waterway, than the facility does not have a reasonable spill expectation and is not subject to the SPCC regulation. This equation is suitable for rural and agricultural areas and uses readily available public information.
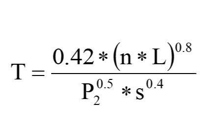
The SCS lag equation is:

Where:
T = travel time in minutes
n = Manning’s roughness coefficient
L = length of flow path in feet
P2 = 2-year, 24-hour rainfall event in inches
s = average slope of hydraulic grade line in feet per feet[6]
Rearranging the SCS lag equation to solve for the hydraulic length of the flow path yields:

This equation is used to determine how far a spill could travel before personnel arrive and contain the spill. The formula variables can be based on the following:
- The travel time in minutes could be based on the facility’s estimated response time (i.e., you can reach the spill and stop it from impacting a navigable waterway).
- The 2-year, 24-hour rainfall event data is taken from “Technical Paper No. 40, Rainfall Frequency Atlas of the United States”, Prepared by David M. Hershfield, Soil Conservation Service, U.S. Department of Agriculture and Commerce.”
- The slope is calculated based on the distance from the oil tanks or equipment to the nearest downgradient waterway, in feet, divided by the difference in elevation (i.e., the elevation of the waterway where the spill would theoretically enter the waterway).
- Manning’s roughness coefficient is based on the site visit observation of the groundcover characteristics between the equipment and the waterway. These are available on-line and are based on the surface material.
28.3.3 Spill Distance Overview
The spill distance calculation assumes the following:
- The spill occurs during a rainfall event (i.e., the oil is traveling on top of the rain as it flows over the ground surface),
- The rain is flowing as sheet flow from the equipment to the waterway,
The downgradient spill distance is not intended to model an actual spill: An actual spill is affected by too many factors to accurately model. Instead, the downgradient spill distance is used to screen and/or prioritize the risk of an oil spill to a navigable waterway.
28.3.4 References
[1] “SPCC Guidance for Regional Inspectors” by the United States Environmental Protection Agency Office of Emergency Management, Washington D.C., December 16, 2013, page 2-34(SPCC Guidance for Regional Inspectors, December 16, 2013)
[2] Ibid page 2-35
[3] Ibid page 2-35
[4] Ibid page 2-34
[5] Ibid page 2-35
[6] Manning’s Kinematic Solution from Appendix C of the “Drainage Criteria Manual”, City of Lincoln Public Works and Utilities Department and the Lower Platte South Natural Resources District, May 10, 2004,